Что значит разделить один многочлен P на другой Q ? Это значит найти многочлены М (частное) и N (остаток), удовлетворяющие двум требованиям:
1) имеет место равенство: MQ + N = P ;
2) степень многочлена N меньше степени многочлена Q.
Деление многочленов может быть выполнено по следующей схеме:

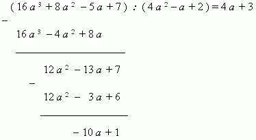
1) Делим первый член 16a³ делимого на первый член 4a² делителя; результат 4a является первым членом частного.
2) Умножаем полученное выражение 4a на делитель 4a² – a + 2 ; записываем результат 16a³ – 4a² + 8a под делимым (один подобный член под другим).
3) Вычитаем почленно этот результат из делимого и сносим вниз следующий по порядку член делимого 7; получаем остаток 12a² –13a + 7 .
4) Делим первый член 12a² этого выражения на первый член 4a² делителя; результат 3 – это второй член частного.
5) Умножаем этот второй член частного 3 на делитель 4a² – a + 2 и вновь записываем результат 12a² – 3a + 6 под делимым (один подобный член под другим).
6) Вычитаем почленно полученный результат из предыдущего остатка и получаем второй остаток: – 10a + 1. Его степень меньше степени делителя, поэтому деление заканчивается.
В результате получили частное 4a + 3 и остаток –10 a + 1.
|